Search

Share on

Antimicrobial Impact of Polyols in Solution for Oral Applications

Published January 27, 2026

Resource Pharma

Author : Damien Truffin Toxicology Expert, Nutrition & Health R&D, Roquette

Abstract

Antimicrobial preservatives are added to pharmaceutical formulas to guarantee their safety of use.  Water activity is a major parameter influencing the microbial stability of a formulation. Since increasing concentrations of polyols in a solution can decrease water activity, the antimicrobial effects of mannitol, maltitol, sorbitol and xylitol were investigated and assessed at different concentrations in water (10, 20, 30, 60%). Results showed that polyols have antimicrobial effects, but there were some differences of antimicrobial effectiveness regarding the molecule: sorbitol > xylitol > maltitol > mannitol. Even if the polyols at 60% in solution cannot be considered as self-preserving, they have a clear antimicrobial effect and can be useful in the context of reduction of antimicrobial artificial preservatives. These antimicrobial effects seem not only due to water activity decrease, but the impact of polyols on microorganism metabolism must also be considered.

1. Introduction

Preservatives are substances added to pharmaceutical preparations to prevent microbial contamination, guarantee their safety of use and increase their shelf life. They are classified1 as: Class I (natural preservatives: salt, sugar, vinegar, syrup, spices, honey and edible oil); Class II (chemical or synthetic preservatives: benzoates, sorbates, nitrites and nitrates of sodium or potassium sulfites, glutamates and glycerides). Several artificial preservatives used in pharmaceutical formulations are toxic and can cause serious health hazards such as hypersensitivity, allergy, asthma, hyperactivity, neurological damage and cancer.2 Among this family of compounds, antimicrobials are added to prevent microbial contamination and the growth of microorganism.

Water activity is a major parameter influencing the microbial stability of a solution.3

Polyols are frequently used excipients in various formulations due to their technical properties4–6: sweetness, texture, low hygroscopicity, strong inertness with API and the patient’s body, and ability to produce extremely robust tablets. Since increasing concentrations of polyols in solution can decrease water activity,7 it could impact the growth and survival of microorganisms in oral liquid pharmaceutical formulations.

The aim of this work was to investigate the antimicrobial effects of four polyols—mannitol, maltitol, sorbitol and xylitol (figure 1)—at different concentrations in water.

Image 1

Figure 1. Chemical structures of polyols.

Material and Methods

All tested polyol samples were of pharmaceutical excipient quality. PEARLITOL® 200 SD mannitol, SweetPearl® P90 maltitol, NEOSORB® P 200 SD sorbitol and XYLISORB® 90 xylitol were supplied by Roquette Frères, Lestrem, France. Solutions containing 10, 20, 30 and 60% of each polyol were prepared in purified water. The determination of antimicrobial effect was performed according to the current European Pharmacopoeia (EP).

Briefly, the microbes tested were Pseudomonas aeruginosa DSM 1128, Staphylococcus aureus DSM 799, Escherichia coli DSM 1576, Candida albicans DSM 1386 and Aspergillus brasiliensis DSM 1988. 10 g of each polyol solution were inoculated with 100 µL of suspension of each one of the test organisms to give an inoculum of 105 to 106 microorganisms per gram of the preparation.

Antimicrobial effects were assessed according to European Pharmacopeia (EP) guidance.8 Briefly, after zero hours, 14 and 28 days at 25°C, 1 mL samples were taken from the media to determine the number of viable microorganisms by plate count using EP agar media B and C for bacteria and fungi respectively. The antimicrobial activity of the polyol's solution was estimated by reduction of the number of the colony forming units (CFU) of microbes in the test samples. According to EP acceptance criteria, a reduction of more than 103 CFU for bacteria and 101 CFU for fungi in 14 days showed a significant antimicrobial effect with no increase of the number of microorganisms after 28 days.

Results and Discussion

Log reduction of the number of specified test microorganism

Figure 2. Log reduction of the number of specified test microorganism after 14 and 28 days for different concentrations of mannitol in solution.

 

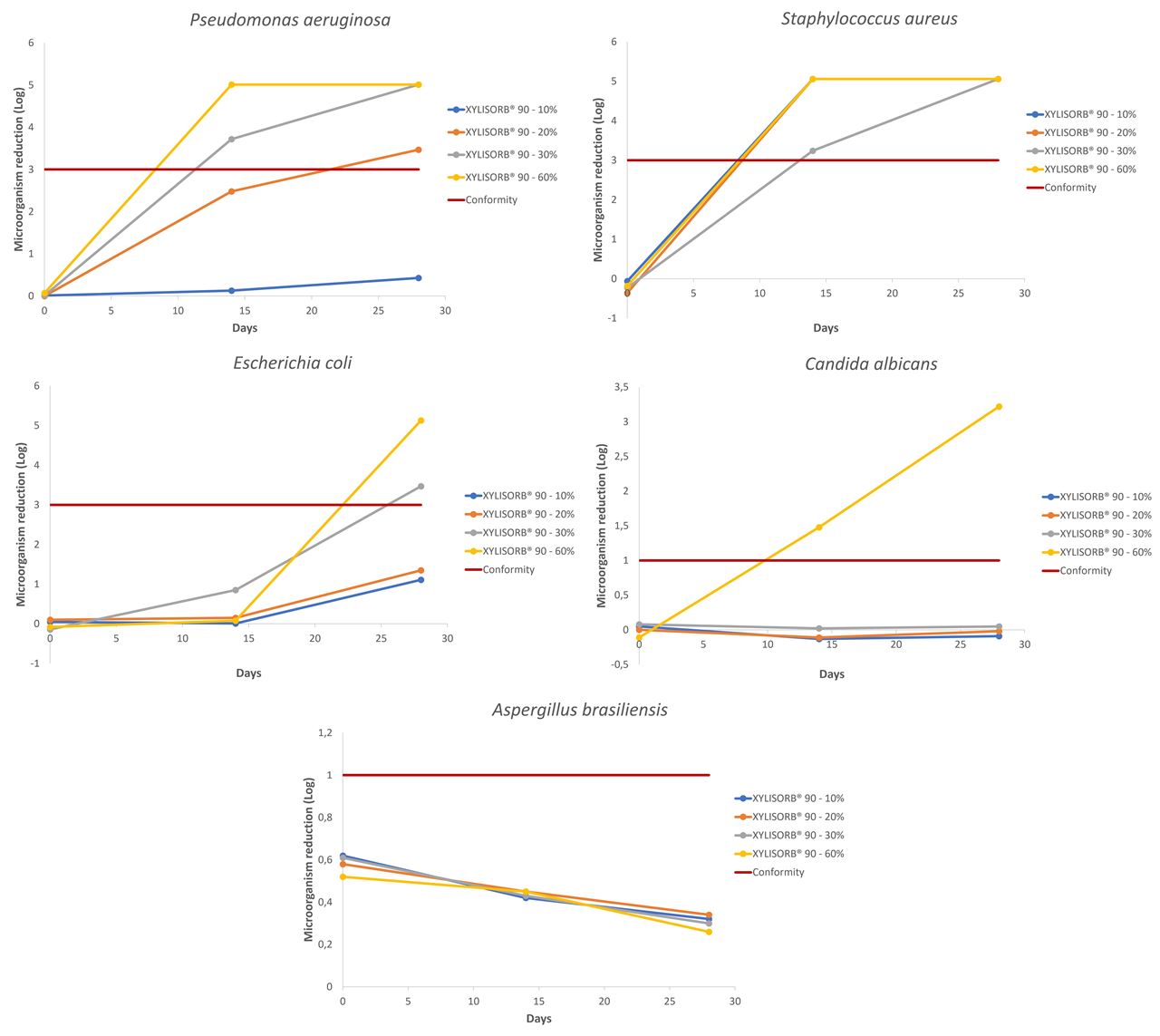
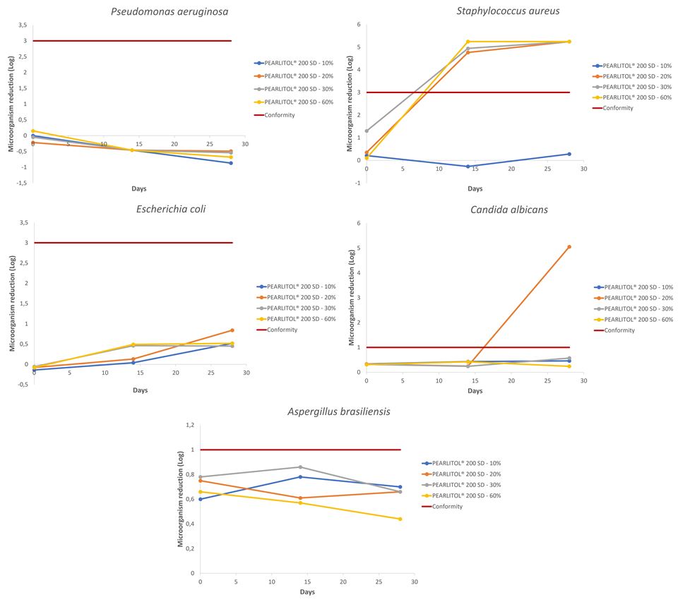
Results showed that mannitol has only an antimicrobial effect on Staphylococcus aureus at concentrations 20, 30 and 60% (Figure 2). The antimicrobial effect of mannitol does not increase with the concentration due to solubility limit of mannitol in water (216 mg/ml at 25°C). Concerning maltitol, data obtained showed that it has an antimicrobial effect on Staphylococcus aureus and Escherichia coli at the highest tested dose 60% (Figure 3). Sorbitol has an antimicrobial effect on three bacteria: Staphylococcus aureus (all tested doses), Escherichia coli (60%) and Pseudomonas aeruginosa (30 and 60%); and on one fungus (Candida albicans,  sorbitol 60%) (Figure 4). Finally, xylitol has an antimicrobial effect on two bacteria at the two highest tested doses: Staphylococcus aureus and Pseudomonas aeruginosa; and on one fungus (Candida albicans) at the highest tested dose 60% (Figure 5).

Image 3

Figure 3. Log reduction of the number of specified test microorganism after 14 and 28 days for different concentrations of maltitol in solution.

 

Image 4

Figure 4. Log reduction of the number of specified test microorganism after 14 and 28 days for different concentrations of sorbitol in solution.

 

Image 5

Figure 5. Log reduction of the number of specified test microorganism after 14 and 28 days for different concentrations of xylitol in solution.

 

The results showed that even though polyols cannot be considered as self-preserving excipients since they showed no effect on Aspergillus brasiliensis, a very resistant fungi against antimicrobial preservatives, they exhibit a clear antimicrobial impact especially for the highest doses 30 and 60%. This point is very interesting in the context of reduction of preservative compounds in pharmaceutical formulas, especially regarding health hazard concerns. Interestingly, there were some differences of antimicrobial effectiveness regarding the molecule: Sorbitol (182 g/mol) exhibits the highest number of strains affected (4 strains) compared to xylitol (152 g/mol) (3 strains), maltitol (344 g/mol) (2 strains) and mannitol (182 g/mol) (1 strain). This observation could be correlated with the water activity which are clearly involved in the antimicrobial effect. Indeed, according to Ninni et al. (2000),7 for the same mass concentration, they observed that the polyols with low molecular weight are better water activity depressors than those with high molecular weight. Nevertheless, regarding the molecular weight of the tested polyols, it seems that the size of the molecule and its impact on the water activity are not the only explanation for these differences in antimicrobial effects, and the impact of polyols on microorganism metabolism has to be considered.8
 

5. Conclusions

Even if the polyols at 60% in solution cannot be considered as self-preserving, they have a clear antimicrobial effect and can be useful in the context of reduction of antimicrobial artificial preservatives. Polyols exhibit different impacts, and sorbitol is the most effective compound against EP test microorganisms.

References

1. Smith A.A. Preservatives in food products–review. International Journal of Pharmaceutical & Biological Archive. 2011, 2(2).
http://www.ijpba.info/index.php/ijpba/article/view/236 
2. Kamala Kumari P.V., Akhila S., Srinivasa Rao Y., Rama Devi B. Alternative to Artificial Preservatives. Sys Rev Pharm. 2019.10(1),99-102.
https://www.sysrevpharm.org/articles/alternative-to-artificial-preservatives.pdf 
3. Zuorro A. Water Activity Prediction in Sugar and Polyol Systems Using Theoretical Molecular Descriptors. Int. J. Mol. Sci. 2021, 22(20).
https://doi.org/10.3390/ijms222011044 
4. Basedow A., Gernot M., Schmidt P.C. Sorbitol Instant an Excipient with Unique Tableting Properties. Drug Dev. Ind. Pharm. 2008, 12, 11–13.
https://doi.org/10.3109/03639048609042624 
5. Bolhuis K.G., Rexwinkel G. E., Zuurman K. Polyols as filler-binders for disintegrating tablets prepared by direct compaction. Drug Dev. Ind. Pharm. 2009, 35, 671–677.
https://doi.org/10.1080/03639040802587799 
6. Tarlier N., Soulairol I., Sanchez-Ballester N., Gilles Baylac G., Aubert A., Lefevre P., Bataille B., Sharkawia T. Deformation behavior of crystallized mannitol during compression using a rotary tablet press simulator. Int. J. Pharm. 2018, 547, 142–149.
https://doi.org/10.1016/j.ijpharm.2018.05.026 
7. Ninni L., Camargo M.S., Meirelles A.J. Water Activity in Polyol Systems. J. Chem. Eng. Data. 2000, 45, 654-660. European Pharmacopoeia 6.0, 5.1.3. Efficacy of antimicrobial preservation. 01/2008:50103.
https://doi.org/10.1021/je990303c 
8. SuBraMania P., N. Nandan N. Effect of xylitol, sodium fluoride and triclosan containing mouth rinse on Streptococcus mutans. 2011. Contemporary Clinical Dentistry, 2(4), 287-290.
https://doi.org/10.4103/0976-237X.91790 

 

® Registered trademark(s) of Roquette Frères. Any information provided herein is intended for healthcare and food industry professionals for internal use only and not to be delivered as such to final consumers. Information is based on our current state of knowledge and made available on an informational basis; products described may have restrictions with respect to their use, communication, and/or usage levels, and such may vary on a country-by-country basis. Manufacturers of dietary supplements should evaluate the intended use of the particular ingredient in their finished dietary supplement to confirm compliance with the applicable laws and regulations of authorities regulating such products, because the suitability and regulatory status of a product may be dependent on its specific intended use. As the use of these products is beyond our control, Roquette makes no express or implied warranties regarding the use of the product and no guarantee of product properties, and in particular no express or implied warranties regarding the use of the product in dietary supplements, including without limitation the implied warranties of merchantability and fitness for a particular purpose, and Roquette disclaims liability for any loss and/or damage related to such use. Roquette, further, does not warrant that the information or its use will not infringe any patent or other proprietary rights of any third party. Roquette providing this information is not a commitment to sell any product encompassing any of such information in the future